你好,欢迎来到中华试剂网 购试剂 买耗材! [请登录][注册有惊喜]

货号快速下单 | 签到送积分   | 会员中心 | 客服热线:400-021-2765

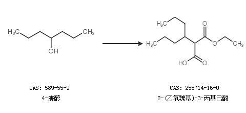
2-(乙氧羰基)-3-丙基己酸的合成路线

提问时间:2021/4/26 17:08:03
2-(乙氧羰基)-3-丙基己酸是什么,有什么方法可以合成?

1条回复:

匿名
2021/4/26 17:08:03
基本信息:
中文名称 2-(乙氧羰基)-3-丙基己酸
中文别名 2-(乙氧基羰基)-3-丙基己酸;
英文名称 2-ethoxycarbonyl-3-propylhexanoic acid
英文别名 HMS548C17;
CAS号 255714-16-0

合成路线:
1.通过4-庚醇合成2-(乙氧羰基)-3-丙基己酸


2.通过4-溴庚烷合成2-(乙氧羰基)-3-丙基己酸


中华试剂网提醒:合成路线仅供参考
回复