基本信息:
中文名称 2-(4-氟萘-1-基)丙酸
英文名称 2-(4-fluoronaphthalen-1-yl)propanoic acid
英文别名 4-Fluor-naphtylessigsaeure;(4-Fluor-[1]naphthyl)-essigsaeure;2-(4-FLUORO-NAPHTHALEN-1-YL)-PROPIONIC ACID;(4-fluoro-[1]naphthyl)-acetic acid;
CAS号 3833-03-2
合成路线:
1.通过2-(4-氟萘-1-基)乙腈合成2-(4-氟萘-1-基)丙酸

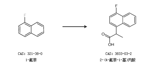
2.通过1-氟萘合成2-(4-氟萘-1-基)丙酸

中华试剂网提醒:合成路线仅供参考