基本信息:
中文名称 2-(2-氟苯基)-4-喹啉羧酸
英文名称 2-(2-fluorophenyl)quinoline-4-carboxylic acid
英文别名 2-(2-fluoro-phenyl)-quinoline-4-carboxylic acid;2-(2-Fluorphenyl)-chinolin-4-carbonsaeure;fluorophenylquinolinecarboxylicacid;
CAS号 1647-89-8
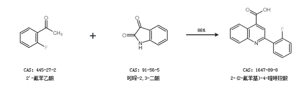
合成路线:
1.通过2''-氟苯乙酮和吲哚-2,3-二酮合成2-(2-氟苯基)-4-喹啉羧酸,收率约86%;

中华试剂网提醒:合成路线仅供参考