基本信息:
中文名称 1,5-己二炔
英文名称 hexa-1,5-diyne
英文别名 1,6-hexadiyne;1,6-heptadiyne;bipropargyl;Hexa-1,4-diin;Hexa-1,5-diin;1,5-HEXADIYNE;hexadiyne-1,4;Methyl-propargyl-acetylen;1,4-hexadiyne;
CAS号 628-16-0
合成路线:
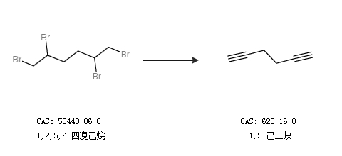
1.通过1,2,5,6-四溴己烷合成1,5-己二炔

2.通过乙炔钠和二溴乙烷合成1,5-己二炔

中华试剂网提醒:合成路线仅供参考