基本信息:
中文名称 1-(4-吡啶)-4-哌啶酮
英文名称 1-PYRIDIN-4-YLPIPERIDIN-4-ONE
英文别名 4-(4-oxopiperidin-4-yl)pyridine;1-(pyridin-4-yl)-4-piperidone;1-(pyridin-4-yl)-4-piperidinone;1-(pyridin-4-yl)-4-oxopiperidine;2,3,5,6-tetrahydro-[1,4'']bipyridinyl-4-one;4-Piperidinone,1-(4-pyridinyl);1-(4-pyridyl)-4-piperidone;1-(pyridin-4-yl)piperidin-4-one;1-(4-pyridinyl)-4-Piperidinone;
CAS号 126832-81-3
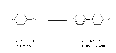
合成路线:
1.通过8-吡啶-4-基-1,4-二噁-8-氮杂螺[4.5]癸烷合成1-(4-吡啶)-4-哌啶酮,收率约98%;

2.通过4-羟基哌啶合成1-(4-吡啶)-4-哌啶酮

中华试剂网提醒:合成路线仅供参考