你好,欢迎来到中华试剂网 购试剂 买耗材! [请登录][注册有惊喜]

货号快速下单 | 签到送积分   | 会员中心 | 客服热线:400-021-2765

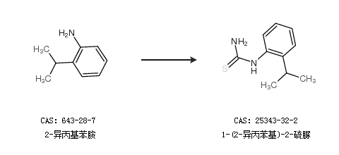
1-(2-异丙苯基)-2-硫脲的合成路线

提问时间:2021/4/26 17:08:01
1-(2-异丙苯基)-2-硫脲是什么,有什么方法可以合成?

1条回复:

匿名
2021/4/26 17:08:01
基本信息:
中文名称 1-(2-异丙苯基)-2-硫脲
中文别名 1-(2-异丙基苯基)-2-硫脲;
英文名称 (2-propan-2-ylphenyl)thiourea
英文别名 2-isopropyl phenyl thiourea;
CAS号 25343-32-2

合成路线:
1.通过2-异丙基苯胺合成1-(2-异丙苯基)-2-硫脲


2.通过2-异丙基苯基异硫氰酸酯合成1-(2-异丙苯基)-2-硫脲


中华试剂网提醒:合成路线仅供参考
回复