基本信息:
中文名称 1-(1-金刚烷)吡咯烷-2-酮
英文名称 1-(1-Adamantyl)pyrrolidin-2-one
英文别名 N-(1-Adamantyl)-2-pyrrolidone;1-(1-adamantyl)pyrrolidone;1-(1-Adamantanyl)-2-pyrrolidinon;1-adamantan-1-yl-pyrrolidin-2-one;
CAS号 3716-62-9
合成路线:
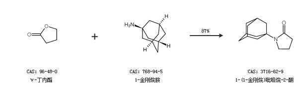
1.通过γ-丁内酯和1-金刚烷胺合成1-(1-金刚烷)吡咯烷-2-酮,收率约87%;

2.通过2-吡咯烷酮合成1-(1-金刚烷)吡咯烷-2-酮,收率约73%;

中华试剂网提醒:合成路线仅供参考