你好,欢迎来到中华试剂网 购试剂 买耗材! [请登录][注册有惊喜]

货号快速下单 | 签到送积分   | 会员中心 | 客服热线:400-021-2765

(4S)-4-甲基-l-脯氨酸的合成路线

提问时间:2021/4/26 17:08:01
(4S)-4-甲基-l-脯氨酸是什么,有什么方法可以合成?

1条回复:

匿名
2021/4/26 17:08:01
基本信息:
中文名称 (4S)-4-甲基-l-脯氨酸
英文名称 Cis methyl-4 L-proline
CAS号 6734-41-4

合成路线:
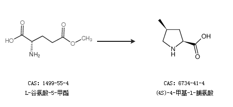
1.通过L-谷氨酸-5-甲酯合成(4S)-4-甲基-l-脯氨酸


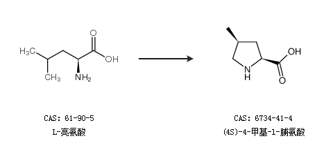
2.通过L-亮氨酸合成(4S)-4-甲基-l-脯氨酸


中华试剂网提醒:合成路线仅供参考
回复