基本信息:
中文名称 (2S,4s)-4-甲基谷氨酸
英文名称 (2S,4S)-2-amino-4-methylpentanedioic acid
英文别名 L-threo-|A-Methylglutamic Acid;L-threo-|A-Methylglutamate;4-methyl-L-glutamic acid;threo-4-Methyl-L-glutamic Acid;
CAS号 6141-27-1
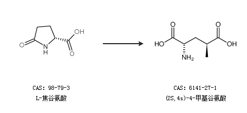
合成路线:
1.通过L-焦谷氨酸合成(2S,4s)-4-甲基谷氨酸

2.通过Boc-L-焦谷氨酸甲酯合成(2S,4s)-4-甲基谷氨酸

中华试剂网提醒:合成路线仅供参考