基本信息:
中文名称 2-溴-4''-硝基苯乙酮
中文别名 2-溴代对硝基苯乙酮;α-溴代对硝基苯乙酮;Alpha-溴代对硝基苯乙酮;4-硝基苯甲酰甲基溴;2-溴-4’-硝基苯乙酮;
英文名称 2-Bromo-4''-nitroacetophenone
英文别名 2-bromo-1-(4-nitrophenyl)ethanone;
CAS号 99-81-0
合成路线:
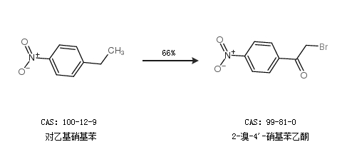
1.通过对乙基硝基苯合成2-溴-4''-硝基苯乙酮,收率约66%;

2.通过4-硝基苯乙烯合成2-溴-4''-硝基苯乙酮,收率约83%;

中华试剂网提醒 合成路线仅供参考