基本信息:
中文名称 2,6-二溴-4-叔丁基苯酚
英文名称 2,6-Dibromo-4-tert-butylphenol
英文别名 Phenol,6-dibromo-4-tert-butyl;2,6-DIBROMO-4-TERT-BUTYL-PHENOL;2,5-BIS(TRIMETHYLSILYL)THIOPHENE;2,6-Dibrom-4-tert.-butyl-phenol;2,6-dibromo-4-t-butylphenol;3.5-Dibrom-4-hydroxy-1-tert.-butyl-benzol;
CAS号 98-22-6
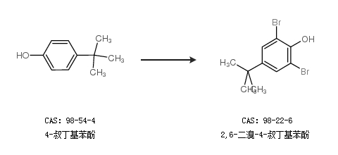
合成路线:
1.通过4-叔丁基苯酚合成2,6-二溴-4-叔丁基苯酚,收率约99%;

2.通过4-叔丁基苯酚合成2,6-二溴-4-叔丁基苯酚

中华试剂网提醒 合成路线仅供参考