基本信息:
中文名称 3-氨基苯磺酰胺
中文别名 3-氨基苯-1-磺酰胺;3-氨基苯磺胺;
英文名称 3-Aminobenzenesulfonamide
英文别名 Benzenesulfonamide,3-amino;m-Aminobenzenesulfonamide;Benzenesulfonamide,m-amino;Metanilamide;METANILAMIDE;3-AMINO BENZENESULFONAMIDE;aniline-3-sulfonic acid amide;3-Amino-benzenesulfonamide;3-AMINOBENZOL-1-SULFONAMID;Metaniilamide;m-Aminobenzenesulphonamide;3-Aminobenzenesulphonamide;3-aminobenzene-1-sulfonamide;M-AMINOBENZENESULFONAMIDE;3-aminobenzenesulphonamide;BENZENESULFONAMIDE,3-AMINO-;m-Sulfamoylaniline;
CAS号 98-18-0
合成路线:
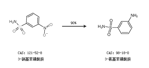
1.通过3-硝基苯磺酰胺合成3-氨基苯磺酰胺,收率约90%;

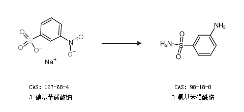
2.通过3-硝基苯磺酸钠合成3-氨基苯磺酰胺

中华试剂网提醒 合成路线仅供参考