基本信息:
中文名称 7-氯-4-肼基-2-甲基喹啉
英文名称 (7-chloro-2-methylquinolin-4-yl)hydrazine
英文别名 7-chloro-2-methyl-4-quinolylhydrazine;F1174-3121;7-CHLORO-4-HYDRAZINYL-2-METHYLQUINOLINE;7-CHLORO-4-HYDRAZINO-2-METHYLQUINOLINE;2-metil-4-idrazino-7-clorochinolina;
CAS号 97892-66-5
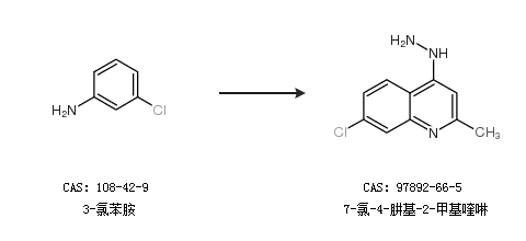
合成路线:
1.通过4,7-二氯-2-甲基喹啉合成7-氯-4-肼基-2-甲基喹啉,收率约91%;

2.通过3-氯苯胺合成7-氯-4-肼基-2-甲基喹啉

中华试剂网提醒 合成路线仅供参考