基本信息:
中文名称 4,5-二氯邻苯二甲酸酐
中文别名 4,5-二氯苯酐;4,5-二氯苯二甲酸酐;
英文名称 4,5-DICHLOROPHTHALIC ANHYDRIDE
英文别名 5,6-dichloroisobenzofuran-1,3-dione;4,5-dichloro-phthalic acid anhydride;5,6-dichlorophthalic anhydride;4,5-Dichlor-phthalsaeure-anhydrid;5,6-DICHLORO-1,3-DIHYDROISOBENZOFURAN-1,3-DIONE;5,6-dichloro-1,3-isobenzofurandione;5,6-Dichloro-2-benzofuran-1,3-dione;4,5-Dichlorophalic anhydride;
CAS号 942-06-3
合成路线:
1.通过三氯苯合成4,5-二氯邻苯二甲酸酐,收率约98%;

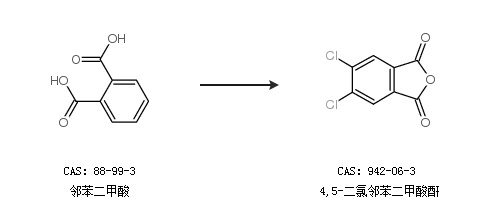
2.通过邻苯二甲酸合成4,5-二氯邻苯二甲酸酐

中华试剂网提醒 合成路线仅供参考