你好,欢迎来到中华试剂网 购试剂 买耗材! [请登录][注册有惊喜]

货号快速下单 | 签到送积分   | 会员中心 | 客服热线:400-021-2765

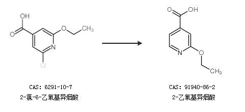
2-乙氧基异烟酸的合成路线

提问时间:2021/4/26 8:22:18
2-乙氧基异烟酸是什么,有什么方法可以合成?

1条回复:

匿名
2021/4/26 8:22:18
基本信息:
中文名称 2-乙氧基异烟酸
英文名称 2-Ethoxyisonicotinic acid
英文别名 2-ethoxypyridine-4-carboxylic acid;
CAS号 91940-86-2

合成路线:
1.通过2-氯-6-乙氧基异烟酸合成2-乙氧基异烟酸


2.通过2,6-二氯异烟酸合成2-乙氧基异烟酸


中华试剂网提醒 合成路线仅供参考
回复