你好,欢迎来到中华试剂网 购试剂 买耗材! [请登录][注册有惊喜]

货号快速下单 | 签到送积分   | 会员中心 | 客服热线:400-021-2765

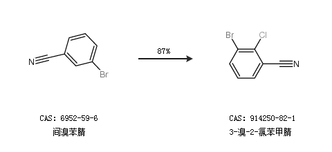
3-溴-2-氯苯甲腈的合成路线

提问时间:2021/4/26 8:22:18
3-溴-2-氯苯甲腈是什么,有什么方法可以合成?

1条回复:

匿名
2021/4/26 8:22:18
基本信息:
中文名称 3-溴-2-氯苯甲腈
中文别名 3-溴-2-氯苯腈;
英文名称 3-Bromo-2-Chlorobenzonitrile
英文别名 3-bromo-2-chlorobenzonitrile;
CAS号 914250-82-1

合成路线:
1.通过间溴苯腈合成3-溴-2-氯苯甲腈,收率约87%;


中华试剂网提醒 合成路线仅供参考
回复