基本信息:
中文名称 鲁比替康
中文别名 9-硝基喜树碱;4-(S)-乙基-4-羟基-10-硝基-1氢-吡喃并[3’,4’:6,7]氮茚并[1,2,-6]喹啉-3,14(4氢,12氢)-二酮;4-(S)-乙基-4-羟基-10-硝基-1氢-吡喃并[3'',4'':6,7]氮茚并[1,2,-6]喹啉;(4S)-4-乙基-4-羟基-10-硝基-1H-吡喃并[3'',4'':6,7]中氮茚并[1,2-B]喹啉-3,14[4H,12H]-二酮;鲁比特康;
英文名称 9-Nitrocamptothecin
英文别名 Rubitecan;9-NITRO-20(S)-CAMPTOTHECIN;PYRIDOXINE 3,4-DIPALMITATE;1H-PYRANO[3'',4'':6,7]INDOLIZINO[1,2-B]QUINOLINE-3,14(4H,12H)-DIONE,4-ETHYL-4-HYDROXY-10-NITRO-, (4S)-;
CAS号 91421-42-0
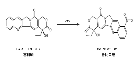
合成路线:
1.通过喜树碱合成鲁比替康,收率约19%;

2.通过喜树碱合成鲁比替康,收率约24%;

中华试剂网提醒 合成路线仅供参考