基本信息:
中文名称 4-乙基氨基-3-硝基-苯甲腈
英文名称 4-(Ethylamino)-3-nitrobenzonitrile
英文别名 4-ethylamino-3-nitrobenzonitrile;4-cyano-N-ethyl-2-nitroaniline;4-Aethylamino-3-nitro-benzonitril;
CAS号 90349-18-1
合成路线:
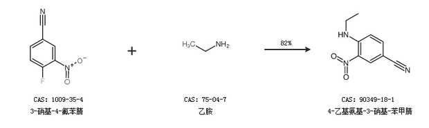
1.通过3-硝基-4-氟苯腈和乙胺合成4-乙基氨基-3-硝基-苯甲腈,收率约82%;

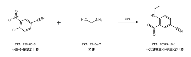
2.通过4-氯-3-硝基苯甲腈和乙胺合成4-乙基氨基-3-硝基-苯甲腈,收率约91%;

中华试剂网提醒 合成路线仅供参考