基本信息:
中文名称 (6-氯吡啶-3-基)(氧基)乙酸乙酯
英文名称 ethyl 2-(6-chloropyridin-3-yl)-2-oxoacetate
英文别名 ETHYL (6-CHLOROPYRIDIN-3-YL)(OXO)ACETATE;Ethyl6-Chloro-3-pyridylglyoxylate;
CAS号 902837-55-2
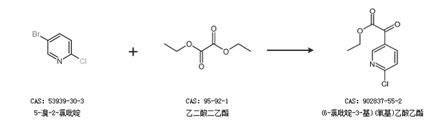
合成路线:
1.通过5-溴-2-氯吡啶和乙二酸二乙酯合成(6-氯吡啶-3-基)(氧基)乙酸乙酯

2.通过5-溴-2-氯吡啶和乙二酸二乙酯合成(6-氯吡啶-3-基)(氧基)乙酸乙酯

中华试剂网提醒 合成路线仅供参考