基本信息:
中文名称 4-氨基噻吩-2-羧酸
中文别名 4-氨基-2-噻吩羧酸;
英文名称 4-AMINOTHIOPHENE-2-CARBOXYLIC ACID
英文别名 2-Thiophenecarboxylic acid,4-amino;4-amino-2-thiophenecarboxylic acid;
CAS号 89499-38-7
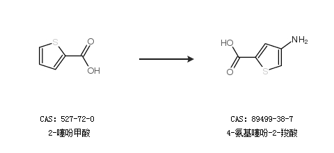
合成路线:
1.通过5-硝基噻吩-2-甲酸合成4-氨基噻吩-2-羧酸,收率约67%;

2.通过2-噻吩甲酸合成4-氨基噻吩-2-羧酸

中华试剂网提醒 合成路线仅供参考