你好,欢迎来到中华试剂网 购试剂 买耗材! [请登录][注册有惊喜]

货号快速下单 | 签到送积分   | 会员中心 | 客服热线:400-021-2765

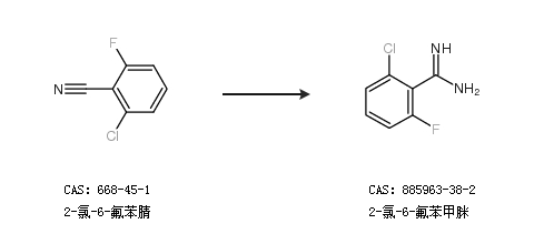
2-氯-6-氟苯甲脒的合成路线

提问时间:2021/4/26 8:22:18
2-氯-6-氟苯甲脒是什么,有什么方法可以合成?

1条回复:

匿名
2021/4/26 8:22:18
基本信息:
中文名称 2-氯-6-氟苯甲脒
英文名称 2-chloro-6-fluorobenzenecarboximidamide
英文别名 Benzenecarboximidamide,2-chloro-6-fluoro;2-Chloro-6-fluorobenzamidine;2-Chloro-6-fluorobenzimidamide;
CAS号 885963-38-2

合成路线:
1.通过2-氯-6-氟苯腈合成2-氯-6-氟苯甲脒


中华试剂网提醒 合成路线仅供参考
回复