基本信息:
中文名称 2-(四氢呋喃-2-基)-1H-苯并咪唑
中文别名 (9ci)-2-(四氢-2-呋喃)-1H-苯并咪唑;
英文名称 2-(oxolan-2-yl)-1H-benzimidazole
英文别名 2-(Tetrahydro-furan-2-yl)-1H-benzoimidazole;2-(2-tetrahydrofuryl)benzimidazole;2-(TETRAHYDRO-2-FURANYL)-1H-BENZIMIDAZOLE;2-(tetrahydrofuran-2-yl)-1H-benzo[d]imidazole;2-(oxolan-2-yl)-1H-1,3-benzodiazole;2-benzimidazol-2-yloxolane;
CAS号 86932-94-7
合成路线:
1.通过四氢呋喃和苯并咪唑合成2-(四氢呋喃-2-基)-1H-苯并咪唑,收率约50%;

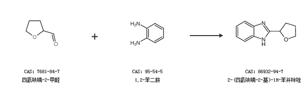
2.通过四氢呋喃-2-甲醛和1,2-苯二胺合成2-(四氢呋喃-2-基)-1H-苯并咪唑

中华试剂网提醒 合成路线仅供参考