你好,欢迎来到中华试剂网 购试剂 买耗材! [请登录][注册有惊喜]

货号快速下单 | 签到送积分   | 会员中心 | 客服热线:400-021-2765

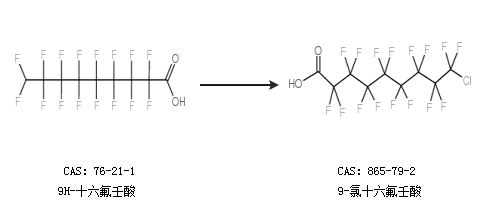
9-氯十六氟壬酸的合成路线

提问时间:2021/4/26 8:22:17
9-氯十六氟壬酸是什么,有什么方法可以合成?

1条回复:

匿名
2021/4/26 8:22:17
基本信息:
中文名称 9-氯十六氟壬酸
英文名称 9-Chlorohexadecafluorononanoic Acid
英文别名 9-chloro-2,2,3,3,4,4,5,5,6,6,7,7,8,8,9,9-hexadecafluorononanoic acid;
CAS号 865-79-2

合成路线:
1.通过9H-十六氟壬酸合成9-氯十六氟壬酸


中华试剂网提醒 合成路线仅供参考
回复