你好,欢迎来到中华试剂网 购试剂 买耗材! [请登录][注册有惊喜]

货号快速下单 | 签到送积分   | 会员中心 | 客服热线:400-021-2765

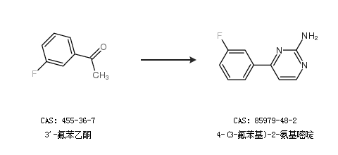
4-(3-氟苯基)-2-氨基嘧啶的合成路线

提问时间:2021/4/26 8:22:17
4-(3-氟苯基)-2-氨基嘧啶是什么,有什么方法可以合成?

1条回复:

匿名
2021/4/26 8:22:17
基本信息:
中文名称 4-(3-氟苯基)-2-氨基嘧啶
英文名称 4-(3-FLUOROPHENYL)PYRIMIDIN-2-AMINE
CAS号 85979-48-2

合成路线:
1.通过硝酸胍合成4-(3-氟苯基)-2-氨基嘧啶,收率约62%;


2.通过3''-氟苯乙酮合成4-(3-氟苯基)-2-氨基嘧啶


中华试剂网提醒 合成路线仅供参考
回复