基本信息:
中文名称 4,4’-二氨基-2,2’-二甲基-1,1’-联苯
中文别名 2,2''-二甲基联苯胺;2,2''-二甲基-4,4''-二氨基联苯(M-TB);4,4''-二氨基-2,2''-二甲基联苯;2,2''-二甲基-4,4''-二氨基联苯(M-TOLIDINE);2,2''-二氯亚肼基苯;
英文名称 2,2''-Dimethyl[1,1''-biphenyl]-4,4''-diamine
英文别名 4-(4-amino-2-methylphenyl)-3-methylaniline;
CAS号 84-67-3
合成路线:
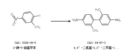
1.通过2-碘-5-硝基甲苯合成4,4’-二氨基-2,2’-二甲基-1,1’-联苯

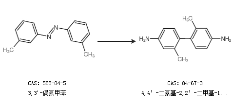
2.通过3,3''-偶氮甲苯合成4,4’-二氨基-2,2’-二甲基-1,1’-联苯

中华试剂网提醒 合成路线仅供参考