你好,欢迎来到中华试剂网 购试剂 买耗材! [请登录][注册有惊喜]

货号快速下单 | 签到送积分   | 会员中心 | 客服热线:400-021-2765

4-氨基-6-氟喹啉的合成路线

提问时间:2021/4/26 8:22:16
4-氨基-6-氟喹啉是什么,有什么方法可以合成?

1条回复:

匿名
2021/4/26 8:22:16
基本信息:
中文名称 4-氨基-6-氟喹啉
英文名称 6-Fluoroquinolin-2-amine
英文别名 6-FLUOROQUINOLIN-2-AMINE;
CAS号 791626-57-8

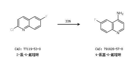
合成路线:
1.通过2-氯-6-氟喹啉合成4-氨基-6-氟喹啉,收率约33%;


2.通过4-氟苯胺合成4-氨基-6-氟喹啉


中华试剂网提醒 合成路线仅供参考
回复