基本信息:
中文名称 3,5-二溴磺胺酸 钠盐
中文别名 3,5-二溴磺胺酸钠盐;
英文名称 sodium,4-amino-3,5-dibromobenzenesulfonate
英文别名 4-Amino-3,5-dibrom-benzolsulfonsaeure;4-Amino-3,5-dibromobenzenesulfonic acid sodium salt;4-amino-3,5-dibromobenzenesulphonic acid;2.6-Dibrom-anilin-sulfonsaeure-(4);3,5-dibromosulphanilic acid;4-amino-3,5-dibromo-benzenesulfonic acid;3,5-dibromosulfanilic acid;
CAS号 78824-10-9
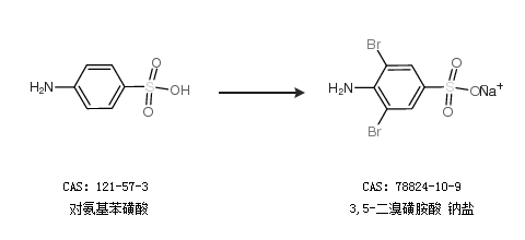
合成路线:
1.通过对氨基苯磺酸合成3,5-二溴磺胺酸 钠盐

2.通过对氨基苯磺酸合成3,5-二溴磺胺酸 钠盐

中华试剂网提醒 合成路线仅供参考