你好,欢迎来到中华试剂网 购试剂 买耗材! [请登录][注册有惊喜]

货号快速下单 | 签到送积分   | 会员中心 | 客服热线:400-021-2765

4-(6-氯喹喔啉-2-基氧基)苯酚的合成路线

提问时间:2021/4/26 8:22:16
4-(6-氯喹喔啉-2-基氧基)苯酚是什么,有什么方法可以合成?

1条回复:

匿名
2021/4/26 8:22:16
基本信息:
中文名称 4-(6-氯喹喔啉-2-基氧基)苯酚
中文别名 6-氯-2-[(4-羟基苯基)氧化]喹喔啉;
英文名称 4-(6-chloroquinoxalin-2-yl)oxyphenol
CAS号 76578-79-5

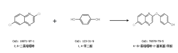
合成路线:
1.通过2,6-二氯喹喔啉合成4-(6-氯喹喔啉-2-基氧基)苯酚,收率约89%;


2.通过2,6-二氯喹喔啉和1,4-苯二酚合成4-(6-氯喹喔啉-2-基氧基)苯酚


中华试剂网提醒 合成路线仅供参考
回复