你好,欢迎来到中华试剂网 购试剂 买耗材! [请登录][注册有惊喜]

货号快速下单 | 签到送积分   | 会员中心 | 客服热线:400-021-2765

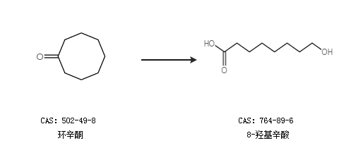
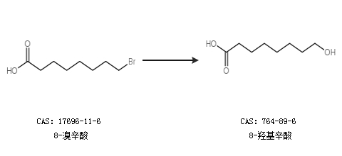
8-羟基辛酸的合成路线

提问时间:2021/4/26 8:22:16
8-羟基辛酸是什么,有什么方法可以合成?

1条回复:

匿名
2021/4/26 8:22:16
基本信息:
中文名称 8-羟基辛酸
英文名称 8-hydroxyoctanoic acid
英文别名 8-HYDROXYOCTANOIC ACID;8-Hydroxyoctanoic acid;
CAS号 764-89-6

合成路线:
1.通过8-溴辛酸合成8-羟基辛酸


2.通过环辛酮合成8-羟基辛酸


中华试剂网提醒 合成路线仅供参考
回复