你好,欢迎来到中华试剂网 购试剂 买耗材! [请登录][注册有惊喜]

货号快速下单 | 签到送积分   | 会员中心 | 客服热线:400-021-2765

6-溴-2,3-二氮杂萘酮的合成路线

提问时间:2021/4/26 8:22:15
6-溴-2,3-二氮杂萘酮是什么,有什么方法可以合成?

1条回复:

匿名
2021/4/26 8:22:15
基本信息:
中文名称 6-溴-2,3-二氮杂萘酮
中文别名 6-溴酞嗪-1-醇;
英文名称 6-Bromophthalazin-1(2H)-One
英文别名 6-bromo-2H-phthalazin-1-one;
CAS号 75884-70-7

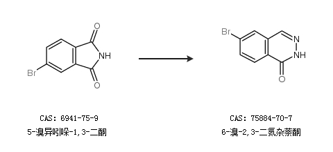
合成路线:
1.通过5-溴-3-羟基异吲哚啉-1-酮合成6-溴-2,3-二氮杂萘酮,收率约48%;


2.通过5-溴异吲哚-1,3-二酮合成6-溴-2,3-二氮杂萘酮


中华试剂网提醒 合成路线仅供参考
回复