基本信息:
中文名称 5,6-二氯烟酰胺
英文名称 5,6-dichloropyridine-3-carboxamide
英文别名 dichloropyridinecarboxamide;5,6-Dichloronicotinamide;5,6-dichloro-nicotinic acid amide;5,6-dichloro-3-pyridinecarboxamide;5,6-Dichlor-nicotinsaeure-amid;3-Pyridinecarboxamide,5,6-dichloro;
CAS号 75291-84-8
合成路线:
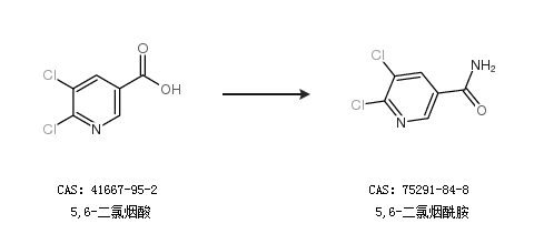
1.通过5,6-二氯烟酸合成5,6-二氯烟酰胺

中华试剂网提醒 合成路线仅供参考