基本信息:
中文名称 6-溴-2-氨基萘
英文名称 6-bromonaphthalen-2-amine
英文别名 6-bromo-2-aminonaphthalene;2-Amino-6-bromonaphthalene;6-bromo-2-naphthalenamine;6-Bromo-naphthalen-2-ylamine;6-amino-2-bromonaphthalene;6-bromo-2-naphthylamine;F0701-0046;
CAS号 7499-66-3
合成路线:
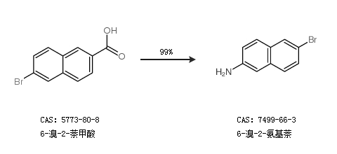
1.通过6-溴-2-萘甲酸合成6-溴-2-氨基萘,收率约99%;

2.通过6-溴-2-萘酚合成6-溴-2-氨基萘,收率约95%;

中华试剂网提醒 合成路线仅供参考