你好,欢迎来到中华试剂网 购试剂 买耗材! [请登录][注册有惊喜]

货号快速下单 | 签到送积分   | 会员中心 | 客服热线:400-021-2765

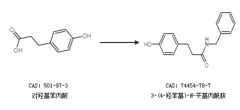
3-(4-羟苯基)-N-苄基丙酰胺的合成路线

提问时间:2021/4/26 8:22:15
3-(4-羟苯基)-N-苄基丙酰胺是什么,有什么方法可以合成?

1条回复:

匿名
2021/4/26 8:22:15
基本信息:
中文名称 3-(4-羟苯基)-N-苄基丙酰胺
中文别名 3-(4-羟基苯基)-N-苄基丙酰胺;
英文名称 N-benzyl-3-(4-hydroxyphenyl)propanamide
CAS号 74454-78-7

合成路线:
1.通过对羟基苯丙酸甲酯和苯甲胺合成3-(4-羟苯基)-N-苄基丙酰胺,收率约96%;


2.通过对羟基苯丙酸合成3-(4-羟苯基)-N-苄基丙酰胺


中华试剂网提醒 合成路线仅供参考
回复