基本信息:
中文名称 1-[2-(2-甲氧基乙氧基)乙氧基]丁烷
中文别名 二乙二醇丁基甲醚;
英文名称 1-[2-(2-methoxyethoxy)ethoxy]butane
英文别名 (2-butoxy-ethyl)-(2-methoxy-ethyl) ether;1-<2-(2-Methoxyethoxy)ethoxy>butan;EINECS 230-954-5;methyl butyl diglycol;1-(2-(2-METHOXYETHOXY)ETHOXY)-BUTANE;methylbutyl-diethyleneglycol;O-Butyl-O''-methyl-diaethylenglykol;(2-Butoxy-aethyl)-(2-methoxy-aethyl)aether;
CAS号 7382-32-3
合成路线:
1.通过正溴丁烷和二乙二醇单甲醚合成1-[2-(2-甲氧基乙氧基)乙氧基]丁烷

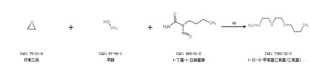
2.通过环氧乙烷、甲醇和1-丁基-1-亚硝基脲合成1-[2-(2-甲氧基乙氧基)乙氧基]丁烷,收率约4%;

中华试剂网提醒 合成路线仅供参考