基本信息:
中文名称 N-(2-溴-5,6-二氢-6-氧代-1H-吡咯并[4,3,2-EF][2,3]苯并二氮杂-8-基)-氨基甲酸-1,1-二甲基乙酯
英文名称 CHK-147(d)
英文别名 Carbamic acid,N-(2-bromo-5,6-dihydro-6-oxo-1H-pyrrolo[4,3,2-ef][2,3]benzodiazepin-8-yl)-,1,1-dimethylethyl ester;(2-bromo-6-oxo-5,6-dihydro-1H-[1,2]diazepino[4,5,6-cd]indol-8-yl)-carbamic acid tert-butyl ester;tert-butyl 2-bromo-6-oxo-5,6-dihydro-1H-[1,2]diazepino[4,5,6-cd]indol-8-ylcarbamate;
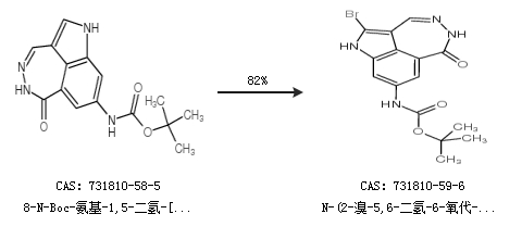
CAS号 731810-59-6
合成路线:
1.通过8-N-Boc-氨基-1,5-二氢-[1,2]二氮杂革并[4,5,6-cd]吲哚-6-酮合成N-(2-溴-5,6-二氢-6-氧代-1H-吡咯并[4,3,2-EF][2,3]苯并二氮杂-8-基)-氨基甲酸-1,1-二甲基乙酯,收率约82%;

中华试剂网提醒 合成路线仅供参考