基本信息:
中文名称 2-甲基喹喔啉
中文别名 2-甲基喹恶啉;
英文名称 2-Methylquinoxaline
英文别名 methylquinoxaline,2-methylchinoxaline;2-Methylbenzopyrazine;2-methyl-quinoxalin;Quinoxaline,2-methyl;2-Methylquinoxaline,~;3-Methylquinoxaline;2-methylchinoxaline;2-Methyl-chinoxalin;
CAS号 7251-61-8
合成路线:
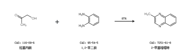
1.通过羟基丙酮和1,2-苯二胺合成2-甲基喹喔啉,收率约87%;

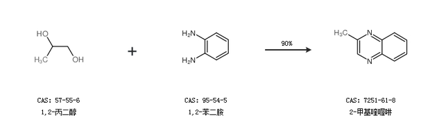
2.通过1,2-丙二醇和1,2-苯二胺合成2-甲基喹喔啉,收率约90%;

中华试剂网提醒 合成路线仅供参考