基本信息:
中文名称 (S)-1-CBZ-2-吡咯烷乙氰
中文别名 (S)-1-cbz-2-氰基甲基吡咯烷;
英文名称 benzyl (2S)-2-(cyanomethyl)pyrrolidine-1-carboxylate
英文别名 (S)-1-CBZ-2-CYANOMETHYLPYRROLIDINE;(S)-Benzyl 2-(cyanomethyl)pyrrolidine-1-carboxylate;
CAS号 72500-25-5
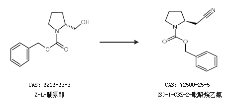
合成路线:
1.通过氰化钠合成(S)-1-CBZ-2-吡咯烷乙氰,收率约91%;

2.通过Z-L-脯氨醇合成(S)-1-CBZ-2-吡咯烷乙氰

中华试剂网提醒 合成路线仅供参考