基本信息:
中文名称 7-Boc-3-溴-5,6,7,8-四氢-1,2,4-三唑并[4,3-a]吡嗪
中文别名 3-溴-7-Boc-5,6,7,8-四氢-[1,2,4]三唑并[4,3-a]吡嗪;3-溴-5,6-二氢-[1,2,4]三唑并[4,3-a]吡嗪-7(8H)-甲酸叔丁酯;
英文名称 7-Boc-3-bromo-5,6,7,8-tetrahydro-1,2,4-triazolo[4,3-a]pyrazine
英文别名 tert-butyl 3-bromo-6,8-dihydro-5H-[1,2,4]triazolo[4,3-a]pyrazine-7-carboxylate;
CAS号 723286-80-4
合成路线:
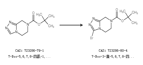
1.通过7-Boc-5,6,7,8-四氢-1,2,4-三唑并[4,3-a]吡嗪合成7-Boc-3-溴-5,6,7,8-四氢-1,2,4-三唑并[4,3-a]吡嗪

中华试剂网提醒 合成路线仅供参考