你好,欢迎来到中华试剂网 购试剂 买耗材! [请登录][注册有惊喜]

货号快速下单 | 签到送积分   | 会员中心 | 客服热线:400-021-2765

4-异喹啉甲酸的合成路线

提问时间:2021/4/26 8:22:14
4-异喹啉甲酸是什么,有什么方法可以合成?

1条回复:

匿名
2021/4/26 8:22:14
基本信息:
中文名称 4-异喹啉甲酸
中文别名 异喹啉-4-甲酸;异喹啉-4-甲酸;异喹啉-4-羧酸;
英文名称 Isoquinoline-4-carboxylic acid
英文别名 isoquinoline-4-carboxylic acid;
CAS号 7159-36-6

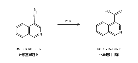
合成路线:
1.通过4-氰基异喹啉合成4-异喹啉甲酸,收率约61%;


2.通过异喹啉合成4-异喹啉甲酸


中华试剂网提醒 合成路线仅供参考
回复