你好,欢迎来到中华试剂网 购试剂 买耗材! [请登录][注册有惊喜]

货号快速下单 | 签到送积分   | 会员中心 | 客服热线:400-021-2765

2-羟基戊酸乙酯的合成路线

提问时间:2021/4/26 8:22:14
2-羟基戊酸乙酯是什么,有什么方法可以合成?

1条回复:

匿名
2021/4/26 8:22:14
基本信息:
中文名称 2-羟基戊酸乙酯
英文名称 Ethyl 2-Hydroxyvalerate
英文别名 DL-α-HYDROXYVALERIC ACID ETHYL ESTER;
CAS号 6938-26-7

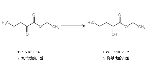
合成路线:
1.通过乙醛酸乙酯和正丙基硼酸合成2-羟基戊酸乙酯


2.通过2-氧代戊酸乙酯合成2-羟基戊酸乙酯


中华试剂网提醒 合成路线仅供参考
回复