基本信息:
中文名称 5-溴-2-萘甲酸甲酯
英文名称 methyl 5-bromonaphthalene-2-carboxylate
英文别名 5-bromonaphthalene-2-carboxylic acid methyl ester;methyl 5-bromo-naphthalene-2-carboxylate;METHYL 5-BROMO-2-NAPHTHOATE;methyl 6-bromonaphthoate;5-bromo-2-naphthalenecarboxylic acid methyl ester;
CAS号 67878-76-6
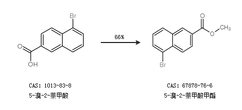
合成路线:
1.通过甲醇和5-溴-2-萘甲酸合成5-溴-2-萘甲酸甲酯,收率约95%;

2.通过5-溴-2-萘甲酸合成5-溴-2-萘甲酸甲酯,收率约66%;

中华试剂网提醒 合成路线仅供参考