基本信息:
中文名称 安丝菌素 P 3
中文别名 安丝菌素;
英文名称 ansamitocin P3
英文别名 2''-De(acetylmethylamino)-2''-methylmaytansine;ANSAMITOCIN P-3;Maytansinol isobutyrate;(3E,5E,7R,84S)-14-chloro-10t,11c-epoxy-84-hydroxy-12c-isobutyryl-15,7r-dimethoxy-3,9c,11t,15-tetramethyl-(84r''H,86c''H)-15-aza-1(1,3)-benzena-8(4,6)-[1,3]oxazinana-cyclopentadecaphane-3,5-diene-82,14-dione;Anasamitocin P-3;Ansamitosin P 3;O3-isobutyryl-maytansinol;Tam-330;
CAS号 66584-72-3
合成路线:
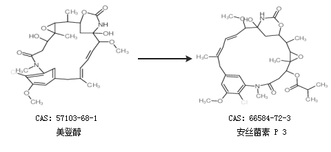
1.通过美登醇合成安丝菌素 P 3

中华试剂网提醒 合成路线仅供参考