基本信息:
中文名称 2,3-二硝基苯酚
中文别名 2,3-二硝基酚;
英文名称 2,3-dinitrophenol
英文别名 HOC6H3(NO2)2-2.3;2,3-DINITROPHENOL;anti-dinitrophenol;2,3-dinitro-phenol;2,3-DNP;2,3-Dinitrofenol [Czech];Phenol,2,3-dinitro;di-nitro-phenol;2.3-Dinitro-1-hydroxy-benzol;
CAS号 66-56-8
合成路线:
1.通过间硝基苯酚合成2,3-二硝基苯酚,收率约45%;

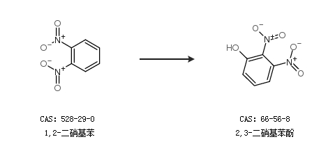
2.通过1,2-二硝基苯合成2,3-二硝基苯酚

中华试剂网提醒 合成路线仅供参考