基本信息:
中文名称 4-氨基-6-(三氟甲基)苯-1,3-二磺酰胺
中文别名 4-氨基-6-三氟甲基-1,3-苯二磺酰胺;
英文名称 4-Amino-6-(trifluoromethyl)benzene-1,3-disulfonamide
英文别名 bendroflumethiazide impurity A;2,4-DISULFAMYLTRIFLUOROMETHYLANILINE;2,4-Disulfamyl-5-trifluoromethylaniline;4-Amino-6-trifluormethyl-benzol-1,3-disulfonsaeure-diamid;2,4-disulfamoyl-5-trifluoromethyl aniline;2pow;4-amino-6-trifluoromethyl-benzene-1,3-disulfonic acid diamide;4-amino-6-trifluoromethyl-1,3-benzenedisulfonamide;
CAS号 654-62-6
合成路线:
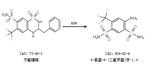
1.通过苄氟噻嗪合成4-氨基-6-(三氟甲基)苯-1,3-二磺酰胺,收率约68%;

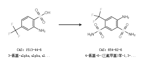
2.通过3-氨基-alpha,alpha,alpha-三氟甲苯-4-磺酸合成4-氨基-6-(三氟甲基)苯-1,3-二磺酰胺

中华试剂网提醒 合成路线仅供参考