基本信息:
中文名称 1,3-二溴-5-硝基苯
中文别名 3,5-二溴硝基苯;1,3-二溴硝基苯;
英文名称 1,3-dibromo-5-nitrobenzene
英文别名 1,3-dibromo-5-nitrobenzol;Benzene,1,3-dibromo-5-nitro;3,5-dibromo-nitro-benzene;1,3-dibromo-5-nitro-benzene;3,5-dinitrobromobenzene;1,3-Dibrom-5-nitro-benzol;
CAS号 6311-60-0
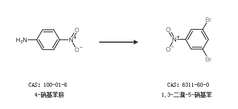
合成路线:
1.通过2,6-二溴对硝基苯胺合成1,3-二溴-5-硝基苯,收率约97%;

2.通过4-硝基苯胺合成1,3-二溴-5-硝基苯

中华试剂网提醒 合成路线仅供参考