基本信息:
中文名称 4-苯基-2,4-二氧丁酸乙酯
中文别名 2,4-二氧代-4-苯基丁酸乙酯;
英文名称 ethyl 2,4-dioxo-4-phenylbutanoate
英文别名 ethyl-2,4-dioxo-4-phenylbutanonate;Ethyl 2,4-dioxo-4-phenylbutyrate;Ethyl 4-phenyl-2,4-dioxobutyrate;a,g-Dioxo-benzenebutanoic acid ethyl ester;benzoylpyruvic acid ethylester;
CAS号 6296-54-4
合成路线:
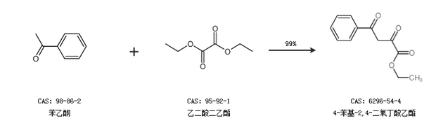
1.通过苯乙酮和乙二酸二乙酯合成4-苯基-2,4-二氧丁酸乙酯,收率约99%;

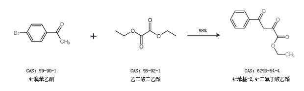
2.通过4-溴苯乙酮和乙二酸二乙酯合成4-苯基-2,4-二氧丁酸乙酯,收率约98%;

中华试剂网提醒 合成路线仅供参考