基本信息:
中文名称 苯六甲酸六甲酯
中文别名 苯六甲酸六甲基酯;
英文名称 hexamethyl benzene-1,2,3,4,5,6-hexacarboxylate
英文别名 Mellitic Acid Hexamethyl Ester;benzene-1,2,3,4,5,6-hexacarboxylic acid hexamethyl ester;Hexamethyl benzenehexacarboxylate;Hexamethyl mellitate;benzenehexacarboxylic acid hexamethyl ester;
CAS号 6237-59-8
合成路线:
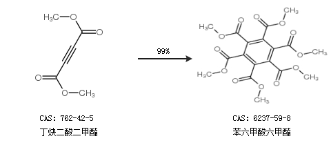
1.通过丁炔二酸二甲酯合成苯六甲酸六甲酯,收率约99%;

2.通过3-己炔和丁炔二酸二甲酯合成苯六甲酸六甲酯,收率约9%;

中华试剂网提醒 合成路线仅供参考