你好,欢迎来到中华试剂网 购试剂 买耗材! [请登录][注册有惊喜]

货号快速下单 | 签到送积分   | 会员中心 | 客服热线:400-021-2765

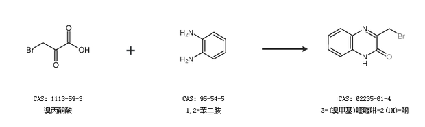
3-(溴甲基)喹喔啉-2(1H)-酮的合成路线

提问时间:2021/4/26 8:22:13
3-(溴甲基)喹喔啉-2(1H)-酮是什么,有什么方法可以合成?

1条回复:

匿名
2021/4/26 8:22:13
基本信息:
中文名称 3-(溴甲基)喹喔啉-2(1H)-酮
中文别名 3-溴甲基-2-(1H)-喹恶啉;
英文名称 3-Bromomethyl-2(1H)-Quinoxalinone
英文别名 3-(bromomethyl)-1H-quinoxalin-2-one;
CAS号 62235-61-4

合成路线:
1.通过溴丙酮酸和1,2-苯二胺合成3-(溴甲基)喹喔啉-2(1H)-酮


2.通过1,2-苯二胺合成3-(溴甲基)喹喔啉-2(1H)-酮


中华试剂网提醒 合成路线仅供参考
回复