基本信息:
中文名称 3,3''-二甲基联苯-4,4''-二醇
英文名称 4-(4-hydroxy-3-methylphenyl)-2-methylphenol
英文别名 4,4''-Bi-o-cresol;2,2''-dimethyl-4,4''-biphenol;3,4''-biphenol;4,4''-dihydroxy-3,3''-dimethylbiphenyl;3,3''-Dimethyl-biphenyl-4,4''-diol;3,3''-dimethyl-4,4''-dihydroxy-biphenyl;3,4''-biphenyldiol;4,4''-dihydroxy-3,3''-dimethyldiphenyl;
CAS号 612-84-0
合成路线:
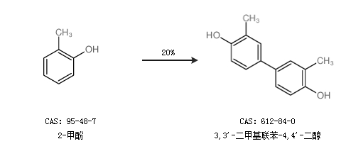
1.通过2-甲酚合成3,3''-二甲基联苯-4,4''-二醇,收率约20%;

2.通过2-甲酚合成3,3''-二甲基联苯-4,4''-二醇,收率约20%;

中华试剂网提醒 合成路线仅供参考