基本信息:
中文名称 邻苯二酚-4-磺酸铵
英文名称 azane,3,4-dihydroxybenzenesulfonic acid
英文别名 3,4-Dihydroxy-benzolsulfonsaeure,Ammoniumsalz;3,4-dihydroxy-benzenesulfonic acid,ammonium salt;3,4-bis(oxidanyl)benzenesulfonic acid;
CAS号 6099-56-5
合成路线:
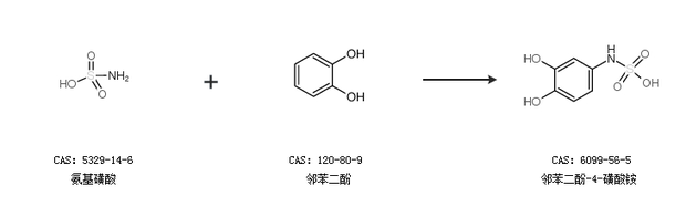
1.通过氨基磺酸和邻苯二酚合成邻苯二酚-4-磺酸铵

中华试剂网提醒 合成路线仅供参考